汽車內飾的塑料制品中的小妖精是怎樣跑出來的?
已有人閱讀此文 - -
――聚碳酸酯和聚丙烯的揮發性有機化合物是怎樣造成的?
“車里氣體會有異味。”
“汽車內飾件原材料會揮傳出小分子水。”
伴隨著新聞媒體的報道和顧客對身心健康的高度重視,上邊這幾句話可以說愈來愈落到實處。因為毛毯、皮革制品、強力膠、紡織物,塑材件等的應用,造成 了車里揮發性有機化合物的上升和味道的提升。隨著著汽車輕量化的發展趨勢和設計方案人性化規定的提升,汽車內部塑膠制品的應用也愈來愈多,伴隨著也產生了散發性的提升。
那麼塑膠制品里的這種小仙女到底是從哪里來的呢?
我們知道,塑膠制品大多數是高分子材料的化學物質,這種人工合成的化學物質基礎全是根據原油中提煉的小分子水化學物質根據化學變化生成出去的。生成的全過程各種各樣,會引進許多反映單個、有機溶劑和金屬催化劑這些,而這種化學物質,要是沒有反映徹底,就會追隨高聚物進到以后的階段,最后遛到汽車內飾件零部件上,漸漸地的釋放在了車細胞外液中。例如,轎車內常見的ABS,就由于反映有機溶劑為鄰二甲苯,在零部件的散發性檢測的情況下就會發覺一定成分的鄰二甲苯殘余。那是否塑膠制品的散發性全是這種殘余造成 的呢?圖樣圖森破~自然并不是……
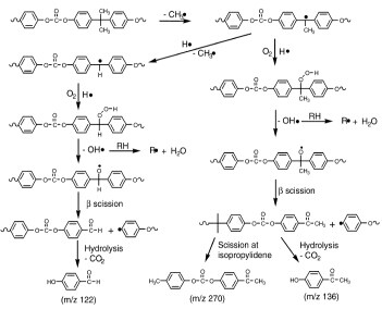
因為高分子材料化學物質擁有 較長的高聚物鏈,在遭受高溫、輻射源、co2空氣氧化等危害的情況下,還會繼續產生生物大分子鏈的開裂。一方面,這類開裂會產生工藝性能的轉變,另一方面,很有可能就會造成低分子結構的有機化合物蒸發到自然環境中去。大家用汽車內飾件里普遍到二種高聚物:聚丙烯和聚碳酸酯來舉例說明,看一下她們是怎樣轉變的。
聚丙烯是一種環己醇鏈的熱固性高聚物,在大家的日常日常生活許多地區都能夠見到他的影子。可是,由于聚丙烯鏈上羥基的存有,造成 氧原子非常容易遭受攻擊,進而產生降解反映:
從上邊的反映原理我們可以發覺,聚丙烯在遭受氧自由基攻擊而且在co2的參加下,會產生β降解,并進一步造成代烴化學物質(VII)。當這類解鏈產生在鏈端情況下,就會造成溴化氫。每產生一次就會形成溴化氫。因而溴化氫的散發性,在聚丙烯這類原材料的檢測中,都較為高。
除開代烴化學物質,環己醇的降解還會繼續造成其他的揮發性有機化合物,大家對銷售市場上普遍的聚丙烯類的鋁合金商品開展了GC-MS剖析,從結果能夠 看得出,不一樣的鋁合金商品,象征性的揮發性化學物質也不一樣。
聚碳酸酯也是一種普遍的橡膠制品,普遍用在各種各樣塑料合金中,大燈乃至頂棚也經常會出現聚碳酸酯的影子。
依照聚碳酸酯的生成加工工藝的不一樣,殘余物關鍵為苯的同系物或是甲酸。聚碳酸酯的熱氧降解也主要是造成含苯環的化學物質,可是因為其含量較為大,非常少會以揮發性有機化合物的方法,外擴散到車細胞外液中。
根據上邊的詳細介紹,堅信大伙兒應當更為清晰這種小仙女是怎樣從潘朵拉的小盒子里爬出來的了。
錦湖日麗一直在減少商品散發性的路面上勤奮科學研究。根據掌握和科學研究散發性化學物質的前因后果,找尋方式減少原材料的揮發性。知其然,學有所用,僅有知道怎么會造成,才會協助大家更強的防止,并實干地給顧客產生更安全性的汽車內飾件用原材料。錦湖日麗也協同其總公司日之升,合作開發了一種反映性改性劑。根據該改性劑,在產生熱氧降解的前期,就可以將造成的氧自由基開展捕獲,而且恢復開裂的分子結構鏈,把造成的小分子水再次接回來分子結構鏈主鏈,進而降低了小分子水的蒸發量。
錦湖日麗根據其在原材料、生產制造、秘方等層面的了解和技術性累積,能夠 將原材料的散發性較普遍原材料減少60%之上。
來源于:錦湖日麗

